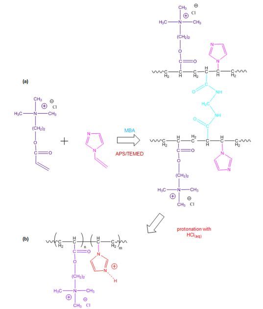
名稱:AuNPs/p(AETAC-co-VI)/Q納米復合水凝膠
組成:AuNPs 1-乙烯咪唑 [2-(丙烯氧基)乙基]三甲基氯化銨溶液
粒徑:152±7.27 nm、131±8.23 nm
應用:殺菌效果好,可促進藥物體外釋放
儲存條件:-4℃
其他說明:密封狀態下保質期半年【主要優勢】AuNPs/p(AETAC-co-VI)/Q納米復合水凝膠與NaDc的載藥機制是通過靜電相互作用實現的。它具有藥物釋放和細菌控制的雙重作用。
題目:
Synthesis, characterization, and in vitro drug release properties
of AuNPs/p(AETAC-co-VI)/Q nanocomposite hydrogels文章鏈接:
https://sci-hub.se/10.1007/s13404-021-00295-4
留言咨詢
|
|
 |
| 生物納米材料前沿 |
 |
| 納米醫學Frontier |
|
溫馨提示:蘇州北科納米供應產品僅用于科研,不能用于人體,不同批次產品規格性能有差異。網站部分文獻案例圖片源自互聯網,圖片僅供參考,請以實物為主,如有侵權請聯系我們立即刪除。
提示說明:納米材料工藝和制備可能會有改變 所有納米材料均支持按需定制 下單前聯系客服確認產品詳細信息。 |