材料名稱:MOF-74(Co)
其他名稱:Co-MOF-74 ; Co-DOBDC; CPO-27(Co); Co2(dhtp)
CAS:871658-67-2
結構信息
單位分子式
C8H4O8Co2
單位分子量
345.97896
配位金屬
Co
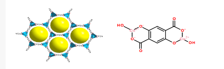
配體
2,5-二羥基對苯二甲酸 (CAS: 610-92-4)
孔徑
0.7 nm 垂直孔道
孔容
0.3 cm3/g
比表面
BET比表面 1100 m2/g
模擬結構
產品性狀
產品形貌 磚紅色粉末 Brick-Red Powders
粒徑 3-5um 不規則塊狀顆粒
穩定性
1) MOF-74在密閉干燥條件下穩定數周;在空氣中尤其是潮濕氣氛中(濕度>10%)易吸濕分解,水溶液中不穩定;
2) 熱分解溫度約250-300度(300度后迅速失重)
保存和活化方法
1) 常溫或低溫條件下,干燥密封保存
2)建議使用前150度(真空)烘箱活化6小時
其他特性
熒光:NA
應用領域
1) 儲氣材料(二氧化碳、甲烷)和吸附材料
2) MOF-74在水溶液中分解,可作為藥物載體進行藥物吸附和緩釋
表征圖譜
參考文獻
1)J.K. Nathaniel, L. Rosi, Eddaoudi Mohamed, Banglin Chen, Michael O'Keeffe, Omar M. Yaghi, J. Am. Chem. Soc. 2005, 127, 1504–1518, DOI: 10.1021/ja045123o ; Rod packings and Metal−Organic frameworks constructed from rod-shaped secondary building units
留言咨詢
|
|
 |
| 生物納米材料前沿 |
 |
| 納米醫學Frontier |
|
溫馨提示:蘇州北科納米供應產品僅用于科研,不能用于人體,不同批次產品規格性能有差異。網站部分文獻案例圖片源自互聯網,圖片僅供參考,請以實物為主,如有侵權請聯系我們立即刪除。
提示說明:納米材料工藝和制備可能會有改變 所有納米材料均支持按需定制 下單前聯系客服確認產品詳細信息。 |